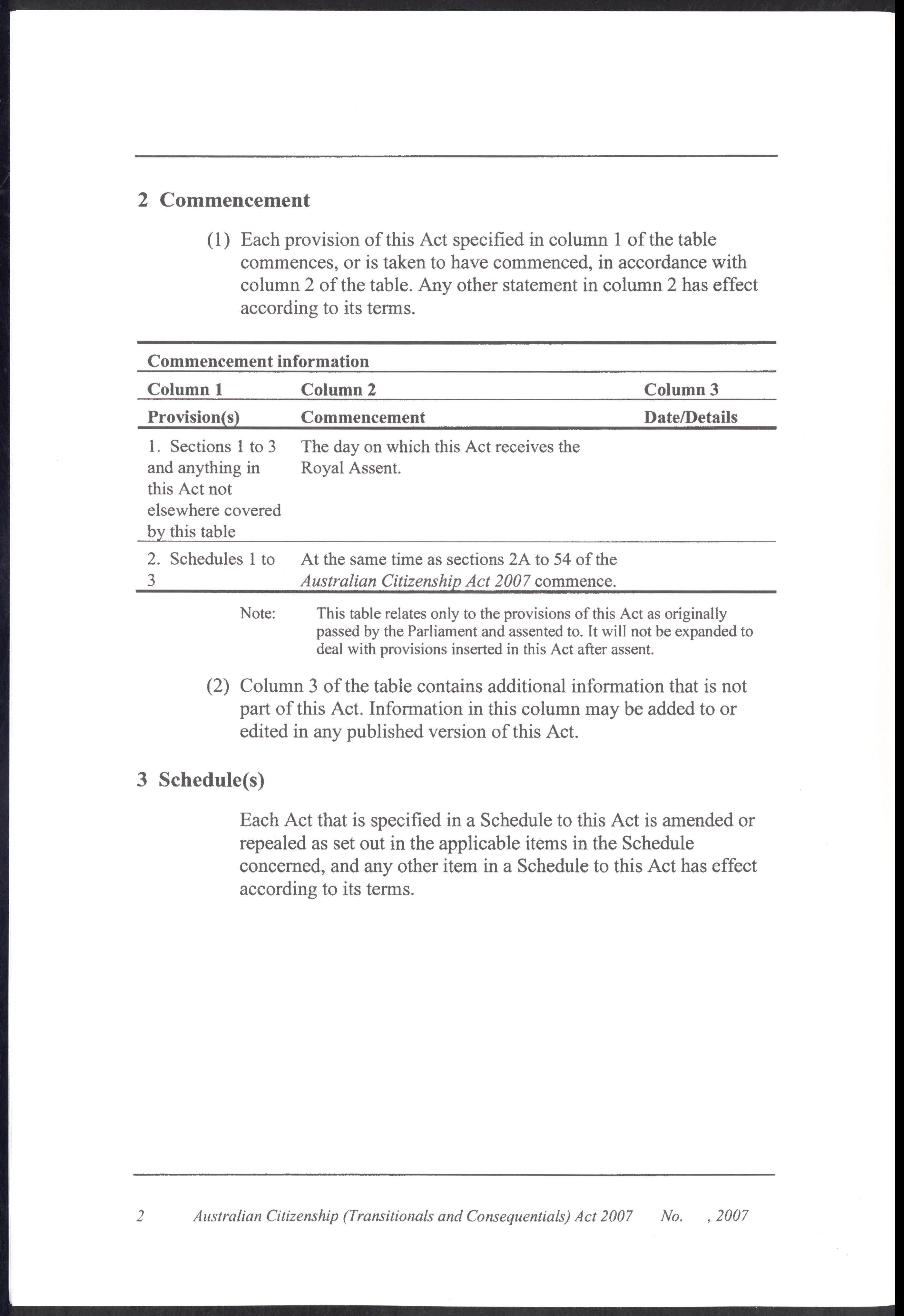
This is an HTML version of an attachment to the Freedom of Information request 'Act No. 21 of 2007 - assented/signed copy and documents submitted for Royal Assent'.